Kepler's third law:
G is the
Universal Gravitation Constant.
As implied by the name, it is constant.
And universal. And has to do with
gravity (a few slides in the future).
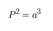
There is another form of KIII:
but you must be very careful when you use
this form of KIII. It only applies if
all three of the following things are true:
You must be careful when you use this special form
(Equation 2)
of KIII! Equation 1 is always valid. Be
careful with the units.