Kepler's laws

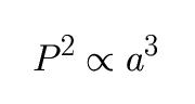
Kepler's third law:

Period squared is proportional to semi-major axis cubed.

This gives us our first equation of the semester (yippee!):

where P is the period, a is the orbital distance (called semi-major axis), and where means "is proportional to."

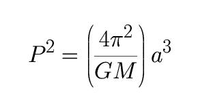
Here is the complete form of this equation:


Equation 1

where P is in seconds, a is in meters, and where M is the mass (in kg) of the object being orbited.

What is G?

Back Next

Back to Lecture 11 outline

Back to main lectures page

Back to main course page