Kepler's laws

Kepler's third law: G is the Universal Gravitation Constant.

As implied by the name, it is constant. And universal. And has to do with gravity (a few slides in the future).

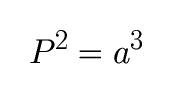
There is another form of KIII:


Equation 2

but you must be very careful when you use this form of KIII. It only applies if all three of the following things are true:

  • P is measured in years;
  • a is measured in AUs; and
  • the mass being orbited has the same mass as the Sun (usually that means it is the Sun).

    You must be careful when you use this special form (Equation 2) of KIII! Equation 1 is always valid. Be careful with the units.

    Back

    Back to Lecture 12 outline

    Back to main lectures page

    Back to main course page