Newton's laws

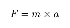
Newton's second law:

The acceleration of a body is directly proportional to the force acting on it.

In other words:


Equation 3

(our second equation!).

Demo: air track -- use two different masses for two different forces.

Back Next

Back to Lecture 10 outline

Back to main lectures page

Back to main course page